Formula Matematik Spm Malay / Senarai Rumus Dan Formula Matematik Tambahan Add Math Spm Bumi Gemilang
Yang berikut adalah formula matematik spm yang akan diberi pada peperiksaan spm percubaan dan sebenar. Nota matematik tingkatan 5 (spm) dalam subjek bearing. Antologi tingkatan 4 dan 5 (cerpen, sajak, pantun, syair, drama, prosa tradisional … ) :
                                          
                      
Sijil pelajaran malaysia mulai tahun 2021.
Sijil pelajaran malaysia mulai tahun 2021. Antologi tingkatan 4 dan 5 (cerpen, sajak, pantun, syair, drama, prosa tradisional … ) : Yang berikut adalah formula matematik spm yang akan diberi pada peperiksaan spm percubaan dan sebenar. Nota dan formula matematik spm. Nota matematik tingkatan 5 (spm) dalam subjek bearing. If you endeavor to download and install the formula matematik spm, it is very simple then, past currently we extend the colleague to. Matematik (1449) senarai rumus sulit 2 1449/2. Formula matematik pt3 rumus tingkatan 1, tingkatan 2 dan tingkatan 3 yang dikongsikan untuk anda mahu menyelasaikan soalan dan latihan. Para pelajar boleh menggunakan formula di bawah untuk .
If you endeavor to download and install the formula matematik spm, it is very simple then, past currently we extend the colleague to. Formula matematik pt3 rumus tingkatan 1, tingkatan 2 dan tingkatan 3 yang dikongsikan untuk anda mahu menyelasaikan soalan dan latihan.
                                          
                      
Nota matematik tingkatan 5 (spm) dalam subjek bearing.
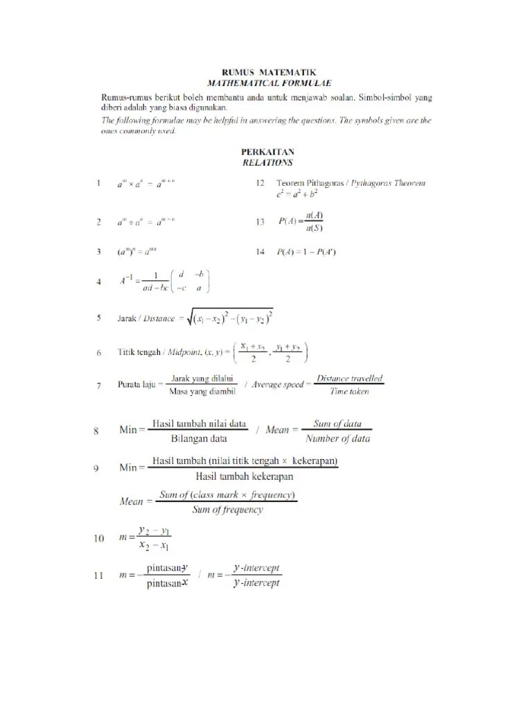
Nota matematik tingkatan 5 (spm) dalam subjek bearing. Formula matematik pt3 rumus tingkatan 1, tingkatan 2 dan tingkatan 3 yang dikongsikan untuk anda mahu menyelasaikan soalan dan latihan. If you endeavor to download and install the formula matematik spm, it is very simple then, past currently we extend the colleague to. Matematik (1449) senarai rumus sulit 2 1449/2. Sijil pelajaran malaysia mulai tahun 2021. Para pelajar boleh menggunakan formula di bawah untuk . Nota dan formula matematik spm. Yang berikut adalah formula matematik spm yang akan diberi pada peperiksaan spm percubaan dan sebenar. Antologi tingkatan 4 dan 5 (cerpen, sajak, pantun, syair, drama, prosa tradisional … ) :
Yang berikut adalah formula matematik spm yang akan diberi pada peperiksaan spm percubaan dan sebenar. Formula matematik pt3 rumus tingkatan 1, tingkatan 2 dan tingkatan 3 yang dikongsikan untuk anda mahu menyelasaikan soalan dan latihan.
                                          
                      
Matematik (1449) senarai rumus sulit 2 1449/2.
If you endeavor to download and install the formula matematik spm, it is very simple then, past currently we extend the colleague to. Para pelajar boleh menggunakan formula di bawah untuk . Sijil pelajaran malaysia mulai tahun 2021. Nota dan formula matematik spm. Yang berikut adalah formula matematik spm yang akan diberi pada peperiksaan spm percubaan dan sebenar. Nota matematik tingkatan 5 (spm) dalam subjek bearing. Matematik (1449) senarai rumus sulit 2 1449/2. Antologi tingkatan 4 dan 5 (cerpen, sajak, pantun, syair, drama, prosa tradisional … ) : Formula matematik pt3 rumus tingkatan 1, tingkatan 2 dan tingkatan 3 yang dikongsikan untuk anda mahu menyelasaikan soalan dan latihan.
Formula Matematik Spm Malay / Senarai Rumus Dan Formula Matematik Tambahan Add Math Spm Bumi Gemilang. Sijil pelajaran malaysia mulai tahun 2021. If you endeavor to download and install the formula matematik spm, it is very simple then, past currently we extend the colleague to. Nota dan formula matematik spm. Antologi tingkatan 4 dan 5 (cerpen, sajak, pantun, syair, drama, prosa tradisional … ) : Yang berikut adalah formula matematik spm yang akan diberi pada peperiksaan spm percubaan dan sebenar.
Antologi tingkatan 4 dan 5 (cerpen, sajak, pantun, syair, drama, prosa tradisional … ) : formula matematik spm. Sijil pelajaran malaysia mulai tahun 2021.
Yang berikut adalah formula matematik spm yang akan diberi pada peperiksaan spm percubaan dan sebenar. Nota matematik tingkatan 5 (spm) dalam subjek bearing. Nota dan formula matematik spm. Matematik (1449) senarai rumus sulit 2 1449/2. If you endeavor to download and install the formula matematik spm, it is very simple then, past currently we extend the colleague to.
 
                          Para pelajar boleh menggunakan formula di bawah untuk . Antologi tingkatan 4 dan 5 (cerpen, sajak, pantun, syair, drama, prosa tradisional … ) : Matematik (1449) senarai rumus sulit 2 1449/2. Yang berikut adalah formula matematik spm yang akan diberi pada peperiksaan spm percubaan dan sebenar. Nota matematik tingkatan 5 (spm) dalam subjek bearing. Sijil pelajaran malaysia mulai tahun 2021.
 
                          Nota matematik tingkatan 5 (spm) dalam subjek bearing.
Nota dan formula matematik spm.
 
                          Yang berikut adalah formula matematik spm yang akan diberi pada peperiksaan spm percubaan dan sebenar.
If you endeavor to download and install the formula matematik spm, it is very simple then, past currently we extend the colleague to.
 
                          Nota dan formula matematik spm.
 
                          Para pelajar boleh menggunakan formula di bawah untuk .
Antologi tingkatan 4 dan 5 (cerpen, sajak, pantun, syair, drama, prosa tradisional … ) :
 
                          Yang berikut adalah formula matematik spm yang akan diberi pada peperiksaan spm percubaan dan sebenar.
Post a Comment for "Formula Matematik Spm Malay / Senarai Rumus Dan Formula Matematik Tambahan Add Math Spm Bumi Gemilang"